
近10余年来,琥珀酸脱氢酶抑制剂(sdhi)类杀菌剂新产品的持续上市致其销售额逐年攀升,已从一类小宗产品飙升至杀菌剂市场前三强。2004—2019年间,其销售额复合年增长率高达21.9%。
目前上市的sdhi类杀菌剂已达20余个,其中,2019年销售额过亿美元的产品有7个,即氟唑菌酰胺、苯并烯氟菌唑、啶酰菌胺、联苯吡菌胺、氟唑菌苯胺、吡唑萘菌胺、氟唑环菌胺。
sdhi类杀菌剂新产品仍源源不断面市,如先正达最新上市的氟唑菌酰羟胺、日本住友化学株式会社的inpyrfluxam、拜耳作物科学的isoflucypram、富美实的氟茚唑菌胺等,其市场增长潜力都很大,进一步推动该类杀菌剂的市场增长。
据phillips mcdougall预测,2024年,sdhi类杀菌剂的销售额将突破30.00亿美元。
1 sdhi类杀菌剂市场概况
1.1 sdhi类杀菌剂市场增长最快,三大产品跻身杀菌剂15强
2019年,全球农药市场总销售额为676.29亿美元,其中杀菌剂销售额占26.99%,为182.55亿美元。甲氧基丙烯酸酯类、三唑类、sdhi类是杀菌剂市场前三强,销售额依次为43.67亿、32.12亿、23.11亿美元。除生物杀菌剂外,sdhi类杀菌剂的同比增长率及2014—2019年复合年增长率都最高,分别为5.3%及8.5%。
2019年,前十五大杀菌剂的销售总额为98.08亿美元,占杀菌剂市场的53.73%。嘧菌酯、代森锰锌、吡唑醚菌酯位列杀菌剂市场前三甲,销售额均在10亿美元以上。3个sdhi类杀菌剂氟唑菌酰胺、苯并烯氟菌唑和啶酰菌胺分别居于第8、12和14位,销售额为4.91亿、4.19亿和3.78亿元,同比增长率为4.5%、7.2%和3.6%。
1.2 sdhi类杀菌剂市场逐年增长,前七大产品占据85.29%
自1966年萎锈灵上市以来,sdhi类杀菌剂历经50多年的发展,但直至2003年啶酰菌胺及后续二氟吡唑酰胺类产品上市,其市场才得以认可,并快速成为杀菌剂市场的一匹黑马。2004年,sdhi类杀菌剂销售额突破1亿美元,2019年的销售额达23.11亿美元,占杀菌剂市场的12.66%。在2004—2019年的15年间,其复合年增长率高达21.93%。
表1 2004—2019年sdhi类杀菌剂的全球销售额
|
时间(年) |
销售额(亿美元) |
时间(年) |
销售额(亿美元) |
|
2004 |
1.18 |
2013 |
11.15 |
|
2005 |
1.88 |
2014 |
15.35 |
|
2008 |
3.54 |
2015 |
15.76 |
|
2009 |
4.12 |
2016 |
16.91 |
|
2010 |
4.22 |
2017 |
20.17 |
|
2011 |
5.81 |
2018 |
21.94 |
|
2012 |
7.65 |
2019 |
23.11 |
在已上市的17个主要sdhi类杀菌剂中,有7个产品在2019年的销售额均在1.00亿美元以上,销售总额为19.71亿美元,占sdhi类杀菌剂市场的85.29%。
表2 2019年全球17个主要sdhi类杀菌剂的产品信息
| 序号 |
中文通用名 |
英文通用名 |
上市时间(年) |
开发公司 |
主要商品名 |
2019年销售额 (亿美元) |
2014—2019年 复合年增长率(%) |
|
1 |
氟唑菌酰胺 |
fluxapyroxad |
2012 |
巴斯夫 |
xemium |
4.91 |
12.3 |
|
2 |
苯并烯氟菌唑 |
benzovindiflupyr |
2013 |
先正达 |
solatenol |
4.19 |
64.3 |
|
3 |
啶酰菌胺 |
boscalid |
2003 |
巴斯夫 |
endura、pristine |
3.78 |
-0.6 |
|
4 |
联苯吡菌胺 |
bixafen |
2010 |
拜耳 |
aviator xpro |
2.76 |
3.3 |
|
5 |
氟唑菌苯胺 |
penflufen |
2012 |
拜耳 |
emesto |
1.70 |
6.3 |
|
6 |
吡唑萘菌胺 |
isopyrazam |
2010 |
先正达 |
bontima |
1.29 |
5.4 |
|
7 |
氟唑环菌胺 |
sedaxane |
2011 |
先正达 |
vibrance |
1.08 |
2.6 |
|
8 |
氟吡菌酰胺 |
fluopyram |
2012 |
拜耳 |
luna |
0.87 |
2.2 |
|
9 |
吡噻菌胺 |
penthiopyrad |
2009 |
三井化学 |
gaia、affet |
0.85 |
3.7 |
|
10 |
氟唑菌酰羟胺 |
pydiflumetofen |
2017 |
先正达 |
adepidyn |
0.65 |
|
|
11 |
萎锈灵 |
carboxin |
1966 |
爱利思达、拜耳 |
vitavax |
0.34 |
-13.4 |
|
12 |
噻呋酰胺 |
thifluzamide |
1997 |
日产 |
greatam |
<0.30 |
-6.4 |
|
13 |
异丙噻菌胺 |
isofetamid |
2014 |
石原产业 |
<0.30 |
76.2 |
|
|
14 |
氟酰胺 |
flutolanil |
1984 |
日本农药 |
moncut |
<0.30 |
-7.4 |
|
15 |
联苯吡嗪菌胺 |
pyraziflumid |
2018 |
日本农药 |
parade |
<0.10 |
|
|
16 |
呋吡菌胺 |
furametpyr |
1997 |
住友化学 |
limber |
<0.10 |
0.0 |
|
17 |
灭锈胺 |
mepronil |
1980 |
组合化学 |
basitac |
<0.10 |
-7.8 |
|
|
总计 |
|
23.11 |
8.5 |
2 sdhi类杀菌剂作用机理
sdhi类杀菌剂为病原菌呼吸作用抑制剂,通过干扰呼吸电子传递链复合体ⅱ上的三羧酸循环,抑制线粒体的功能,阻止其产生能量,抑制病原菌生长,最终导致其死亡。
病原菌线粒体呼吸链是由4个酶复合体(ⅰ、ⅱ、ⅲ、ⅳ)组成的电子传递体,是需氧生物获取和储存能量的关键。
sdhi类杀菌剂作用于病原菌线粒体呼吸电子传递链上的复合体ⅱ,从复合体ⅰ至复合体ⅲ的中间有一个三羧酸循环,琥珀酸脱氢酶是三羧酸循环的功能部分,与线粒体电子传递链相连,催化从琥珀酸氧化到延胡索酸和从泛醌(即辅酶q)还原到泛醇的偶联反应;它由黄素蛋白(sdha)、铁硫蛋白(sdhb)和另外2种嵌膜蛋白(sdhc、sdhd)等4个亚基组成。sdha、sdhb组成复合体ⅱ的可溶性部分,具有琥珀酸脱氢酶活性;sdhc、sdhd将sdha、sdhb固定在内膜上,且具有泛醌还原酶活性。
sdhi类杀菌剂通过完全或者部分占据底物泛醌的位点,抑制电子从琥珀酸到泛醌的传递,阻断病原菌的能量代谢,抑制病原菌的生长,从而导致其死亡,达到防治病害的目的。
国际杀菌剂抗性行动委员会(frac)将sdhi类杀菌剂归类为c2组,其与其他作用机理的杀菌剂无交互抗性,是杀菌剂抗性治理的重要工具。
3 sdhi类杀菌剂构效关系
化合物结构直接决定着产品的前途命运,在sdhi类杀菌剂的发展进程中,发生了数次重大突破,推动了sdhi类杀菌剂的持续发展。
开发sdhi类杀菌剂的鼻祖是美国有利来路公司,目前,参与开发的公司有10余家,上市产品有20多个。
迄今,frac共列出了24个sdhi类杀菌剂,并根据化学结构分成了12个小组,分别为:(1)苯基苯甲酰胺类化合物(3个):麦锈灵、氟酰胺、灭锈胺;(2)噻吩酰胺类化合物(1个):异丙噻菌胺;(3)吡啶乙基苯甲酰胺类化合物(1个):氟吡菌酰胺;(4)苯基环丁基吡啶酰胺类(1个):三氟吡啶胺;(5)呋喃酰胺类化合物(1个):甲呋酰胺;(6)氧硫杂环己二烯酰胺类化合物(2个):萎锈灵、氧化萎锈灵;(7)噻唑酰胺类化合物(1个):噻呋酰胺;(8)吡唑-4-酰胺类化合物(10个):苯并烯氟菌唑、联苯吡菌胺、氟茚唑菌胺、氟唑菌酰胺、呋吡菌胺、inpyrfluxam、吡唑萘菌胺、氟唑菌苯胺、吡噻菌胺、氟唑环菌胺;(9)n-环丙基-n-苄基-吡唑-4-酰胺类化合物(1个):isoflucypram;(10)n-甲氧基-n-苯乙基-吡唑-4-酰胺类化合物(1个):氟唑菌酰羟胺;(11)吡啶酰胺类化合物(1个):啶酰菌胺;(12)吡嗪酰胺类化合物(1个):联苯吡嗪菌胺。

其中,吡唑-4-酰胺类化合物最多,有10个之多。从化学结构来看,isoflucypram、氟唑菌酰羟胺也可归属于吡唑-4-酰胺类化合物。
目前上市的所有sdhi类杀菌剂都是酰胺类化合物,研究人员围绕官能团“酰胺”的羧酸部分、酰胺键部分、胺部分,通过变换取代基,开发了大量的化合物,推动sdhi类杀菌剂迭代升级。

从frac列出的sdhi类杀菌剂来看,其羧酸部分主要为:氧硫杂环己二烯、吡啶、苯基、呋喃、噻吩、噻唑、吡唑、吡嗪等。其中,尤以吡唑环的加盟,大大提升了产品活性。
一直以来,酰胺键部分较为保守,但近年来开发的2个产品(氟唑菌酰羟胺、isoflucypram)在其n原子上进行了取代,收到了不同凡响的效果。
从已知的sdhi类杀菌剂来看,胺部分的取代包括:联苯、稠环、桥链、苯基、其他杂环等。研究人员总结出胺部分结构优化主要采用的三大策略:并环策略、联苯策略、增长链长策略。
纵观现有的sdhi类杀菌剂,有些结构优化具有里程碑式的意义,取得了五大突破性进展。
(1)萎锈灵——sdhi类杀菌剂的开山之作

萎锈灵是首个靶标琥珀酸脱氢酶的杀菌剂,它不仅是sdhi类杀菌剂的开山之作,而且具有良好的内吸性,开辟了杀菌剂从保护性向内吸性发展的新赛道。
(2)啶酰菌胺——sdhi类杀菌剂的助推器

啶酰菌胺的化学结构实现了两大突破,不仅在羧酸部分引入吡啶基团,而且在胺部分引入空间位阻较大的联苯基,化合物性能显著提升。啶酰菌胺是第一个广谱性的sdhi类杀菌剂,几乎对所有类型的真菌病害都有效。巴斯夫这一开创性的研究,使sdhi类杀菌剂得到了空前的发展,高效广谱的新产品不断涌现,成为该类杀菌剂实现快速增长的助推器。
(3)吡唑酰胺类化合物——sdhi类杀菌剂中的最强阵容
sdhi类杀菌剂中的吡唑酰胺是吡唑-4-酰胺,这类化合物占据了半壁江山,成为该类杀菌剂中的最强阵容。1997年,住友化学率先上市了吡唑-4-酰胺结构的sdhi类杀菌剂呋吡菌胺;2009—2020年间,共有11个吡唑-4-酰胺类化合物上市。其中,氟唑菌酰胺、苯并烯氟菌唑现已领军市场。

由于二氟甲基的极性和体积与羟基类似,可模仿蛋白质、酶和某些物质中的羟基而产生代谢阻碍效应,从而使化合物拥有优良的生物活性。在12个吡唑-4-酰胺结构的sdhi类杀菌剂中,有9个化合物的吡唑环3-位上引入了二氟甲基基团。因此,吡唑-4-酰胺与3-二氟甲基的结合几乎成为这类化合物的标配。
(4)氟吡菌酰胺——新型桥链结构的sdhi类杀菌剂

sdhi类杀菌剂的作用机理与抗性机理相似,frac将该类产品归为同一交互抗性组。但研究发现,在灰霉病菌、多主棒孢、瓜类白粉病菌等病原菌的某些突变基因型中,氟吡菌酰胺与啶酰菌胺之间并无交互抗性。
氟吡菌酰胺为首个新型桥链杂环酰胺结构的sdhi类杀菌剂(stretch heterocycle amide sdhis, sha-sdhi),与大多数sdhi类杀菌剂不同,其胺部分的n原子不是直接与芳基相连,而是首先与含2个c原子的烃基相连,形成了一个延长的桥链,从而使氟吡菌酰胺突破了与琥珀酸脱氢酶固有的结合模式,导致其与萎锈灵、啶酰菌胺等sdhi类杀菌剂在病原菌的某些突变基因型中无交互抗性。类似氟吡菌酰胺抗性机理的还有异丙噻菌胺等,这一抗性机理的发现将为科研人员打开新的创制思路。
(5)氟唑菌酰羟胺——首次在酰胺键上实现突破

早期的研究表明,sdhi类杀菌剂中的酰胺键较为保守。直到2017年先正达上市了氟唑菌酰羟胺,才颠覆了人们的认知。
氟唑菌酰羟胺的酰胺键中n原子上进行了甲氧基取代后,产品性能更加优秀,不仅杀菌谱更广,环境特性更好,而且突破性地防治谷物上由镰刀菌引起的病害。
2020年,拜耳上市了isoflucypram,其酰胺键中n原子上取代了环丙基,该产品将为谷物病害防治树立新标杆。
随着研究的深入,保守的酰胺键不再保守,羧酸部分、胺部分的结构衍生化将持续活跃,sdhi类杀菌剂“酰胺”基团三大部分的结构优化仍大有可为。
4 sdhi类杀菌剂专利概况
目前,全球上市的sdhi类杀菌剂有20多个,其中10余个产品的化合物专利仍在保护期内,是专利品种权重较高的领域。在2022—2033年间,有14个产品的化合物专利到期。尤其是,该类杀菌剂中的多个重磅产品即将专利到期,引发市场高度关注。
表3 2022—2033年化合物专利到期的14个sdhi类杀菌剂
|
序号 |
通用名 |
专利号 |
申请日 |
到期日 |
专利权人 |
|
1 |
氟唑菌苯胺 |
wo2003010149、ep1414803、us7538073、cn1255384c |
2002-07-12 |
2022-07-11 |
拜耳 |
|
2 |
联苯吡菌胺 |
wo2003070705、ep1490342、us7329633、cn100503577c |
2003-02-06 |
2023-02-05 |
拜耳 |
|
3 |
氟唑环菌胺 |
wo03074491a1、ep1829865、us7951752b2、cn1293058c |
2003-02-21 |
2023-02-20 |
先正达 |
|
4 |
氟吡菌酰胺 |
wo2004016088、ep1531673、us7572818、cn1319946c |
2003-08-08 |
2023-08-07 |
拜耳 |
|
5 |
吡唑萘菌胺 |
wo2004035589、ep1556385、us7598395、cn100448876c |
2003-10-14 |
2023-10-13 |
先正达 |
|
6 |
苯并烯氟菌唑 |
wo2004035589a1、ep1556385、us7598395b2、cn100448876c |
2003-10-14 |
2023-10-13 |
先正达 |
|
7 |
异丙噻菌胺 |
wo2006016708、ep1776011、us2008318779、cn100567286c |
2005-08-10 |
2025-08-09 |
石原产业 |
|
8 |
氟唑菌酰胺 |
wo2006087343、ep1856055、us8008232、cn101115723b |
2006-02-15 |
2026-02-14 |
巴斯夫 |
|
9 |
联苯吡嗪菌胺 |
wo2007072999a1、ep1963286、us2009233934、cn101341136b |
2006-12-21 |
2026-12-20 |
日本农药 |
|
10 |
氟唑菌酰羟胺 |
wo2010063700、ep2364293b1、us8258169b2、cn102239137b |
2009-12-01 |
2029-11-30 |
先正达 |
|
11 |
isoflucypram |
wo2010130767、ep2430000、us2012065164a1、cn102421757b |
2010-05-12 |
2030-05-11 |
拜耳 |
|
12 |
inpyrfluxam |
wo2011162397a1、ep2584902、us2013096174、cn102958367b |
2011-06-20 |
2031-06-19 |
住友化学 |
|
13 |
氟茚唑菌胺 |
wo2012084812a1、ep2655333、us2014011852a1、cn103502220b |
2011-12-19 |
2031-12-18 |
意赛格 |
|
14 |
三氟吡啶胺 |
wo2013143811a1、ep2644595a1、us9414589b2、cn104203916b |
2013-03-06 |
2033-03-05 |
先正达 |
5 sdhi类杀菌剂中的重点产品
在目前上市的17个主要sdhi类杀菌剂中,有12个产品是2000年以后上市,也是sdhi类杀菌剂市场增长的中坚力量。在已上市的sdhi类杀菌剂中,既有已建立市场领先地位的大单品,也有加速增长的后起新秀,它们构成了sdhi类杀菌剂中的重点产品。
5.1 氟唑菌酰胺

氟唑菌酰胺(通用名:fluxapyroxad;开发代号:bas 700 f、5094351;商品名:xemium等)是由巴斯夫研发的吡唑酰胺结构的sdhi类杀菌剂,高效、广谱、持效、选择性强,具有优异的内吸传导性,兼具预防、治疗作用,耐雨水冲刷。能抑制孢子发芽、芽孢管伸长、菌丝体生长、孢子形成,可用于谷物、大豆、玉米、棉花、油菜、果树、蔬菜、甜菜、花生、特种作物等近百种作物及草坪,防治许多病害,如由壳针孢菌、灰葡萄孢菌、白粉菌、尾孢菌、柄锈菌、丝核菌、核腔菌、链格孢菌等病原菌引起的病害。尤其适用于豆类作物,防治由链格孢菌引起的病害、灰霉病、锈病、白粉病、壳针孢菌引起的病害,棉花上由立枯丝核菌引起的病害,向日葵和油籽菜上由链格孢菌引起的病害等。在所有试验剂量下,对所有作物安全。
氟唑菌酰胺产品既可叶面喷雾,也用于种子处理。
为了延缓抗性的产生和发展,扩大防治谱,同时延长产品的生命周期,巴斯夫推出了氟唑菌酰胺的许多复配产品,如与氟环唑、苯醚甲环唑、吡唑醚菌酯、氯氟醚菌唑、丙硫菌唑、溴虫氟苯双酰胺、氟环唑 吡唑醚菌酯、吡唑醚菌酯 甲霜灵、吡唑醚菌酯 甲基硫菌灵 甲霜灵、溴虫氟苯双酰胺 吡唑醚菌酯 灭菌唑 甲霜灵等的复配。尤其是与氯氟醚菌唑、溴虫氟苯双酰胺等新的专利产品的复配,将为专利即将到期的氟唑菌酰胺赢得更多市场机会。
氟唑菌酰胺产品的主要剂型有:乳油、悬浮剂、种子处理悬浮剂等。
氟唑菌酰胺是巴斯夫重点打造的产品,公司计划将其引入世界上70多个国家,用于100多种作物。2011年,氟唑菌酰胺率先在英国取得登记,2012年上市。该产品现已在全球绝大多数主要市场取得登记和上市,包括美国、加拿大、英国、澳大利亚、欧盟25国、巴西、中国、日本、印度、阿根廷、南非、新西兰等。
氟唑菌酰胺自上市以来,销售额一路攀升,并于2015年成功超越啶酰菌胺,成为sdhi类杀菌剂中的首席产品,从此一直保持着这一领军地位。2019年,氟唑菌酰胺的全球销售额为4.91亿美元,同比增长4.5%,2012—2019年的复合年增长率为26.4%。氟唑菌酰胺现已成为巴斯夫继吡唑醚菌酯之后的第二大杀菌剂,在全球杀菌剂市场排名第八,是全球谷物、大豆用杀菌剂市场的主力产品。据巴斯夫预测,氟唑菌酰胺的年峰值销售额将达6.00亿欧元。
5.2 苯并烯氟菌唑

在sdhi类杀菌剂市场,先正达次第推出了吡唑萘菌胺、氟唑环菌胺、苯并烯氟菌唑、氟唑菌酰羟胺四大产品。2019年,这四大产品的销售总额达7.21亿美元,占sdhi类杀菌剂市场的31.2%。公司于2022年还成功上市了第5个sdhi类杀菌/杀线虫剂三氟吡啶胺。其中的苯并烯氟菌唑,是先正达目前最大的sdhi类杀菌剂,是公司继嘧菌酯之后的第二大杀菌剂,是近年来增长最快的sdhi类杀菌剂之一。
苯并烯氟菌唑(通用名:benzovindiflupyr;开发代号:syn545192;商品名:solatenol等)分子同时含有苯并降冰片烯环及吡唑酰胺基团,有力地提升了产品性能。
苯并烯氟菌唑广谱、高效,持效期长;具有内吸传导性,能紧密结合植物蜡质层,缓慢渗透到植物组织中。通过叶面喷雾或土壤处理,防治大豆、谷物、玉米、棉花、果树、蔬菜、甘蔗、马铃薯、特种作物、草坪、观赏植物等的叶面病害和土壤病害。其对大豆上的亚洲大豆锈病,小麦上由壳针孢菌引起的病害(如叶枯病等)以及白粉病、锈病、全蚀病、基腐病,花生黑斑病,玉米小斑病、灰霉病,苹果黑星病等均有很好的防效。
苯并烯氟菌唑适配性好,与其复配的杀菌剂有:嘧菌酯、丙环唑、苯醚甲环唑、丙硫菌唑、啶氧菌酯、环丙唑醇、嘧菌酯 丙环唑、环丙唑醇 苯醚甲环唑等。其中,苯并烯氟菌唑与嘧菌酯的复配产品elatus对巴西亚洲大豆锈病防效优异,其以杰出的产品性能荣获2015年第八届agrow awards“最佳新作物保护产品奖”。
苯并烯氟菌唑的产品剂型有:乳油、水分散粒剂、可溶液剂、悬乳剂等。
然而,基于持留性和毒性问题,苯并烯氟菌唑被欧盟列入《候选替代物质清单》。
2013年5月,先正达就苯并烯氟菌唑与杜邦(现科迪华)的杀菌剂氟噻唑吡乙酮签署了全球相互授权协议。科迪华将苯并烯氟菌唑与啶氧菌酯复配,用于巴西大豆等。
2013年,先正达的苯并烯氟菌唑在玻利维亚、巴拉圭率先上市,2014年3月在巴西上市。该产品亦已在阿根廷、美国、加拿大、墨西哥、乌拉圭、欧盟25国、英国、澳大利亚、中国、新西兰等国家和地区上市。
随着新产品不断推出,苯并烯氟菌唑持续扩张。2018年以3.91亿美元的销售额成功超越啶酰菌胺,成为sdhi类杀菌剂中的第二大产品;2019年的销售额为4.19亿美元,同比增长7.2%,2014—2019年的复合年增长率为64.3%。先正达曾经预测,苯并烯氟菌唑的年峰值销售额将超过5.00亿美元;苯并烯氟菌唑与嘧菌酯的复配产品elatus的年峰值销售额将突破10.00亿美元。
苯并烯氟菌唑上市以来,已在全球多个作物领域建立了重要的市场地位,现已成为第三大大豆用杀菌剂、第十大谷物用杀菌剂、第九大玉米用杀菌剂、第八大甘蔗用杀菌剂。
5.3 啶酰菌胺
啶酰菌胺(通用名:boscalid;商品名:endura、pristine)的诞生并非一朝一夕。1974年,巴斯夫发现了酰胺类化合物的活性,并持续研究,最终于1992年发现了吡啶酰胺结构的sdhi类杀菌剂啶酰菌胺。
啶酰菌胺具有优异的预防作用,并有一定的治疗效果。可以抑制孢子萌发、芽管伸长、附着器形成,对真菌生长的所有其他阶段也有效,呈现卓越的耐雨水冲刷和持效性。
啶酰菌胺广谱、高效,具有内吸性和渗透作用,可以通过木质部向顶传输,主要通过茎叶喷雾,也用于种子处理。
啶酰菌胺主要用于葡萄、果树、蔬菜、谷物、马铃薯、花生、油菜、大豆、其他豆类作物、棉花、向日葵、咖啡、草坪、观赏植物等,防治由子囊菌、半知菌引起的病害,如白粉病、褐腐病、叶斑病、早疫病、灰霉病、菌核病以及由链格孢菌引起的病害等。它对马铃薯早疫病、葡萄灰霉病具有优异防效。
2002年,巴斯夫首先在智利、韩国、英国登记啶酰菌胺;2003年在巴西、加拿大、德国、美国登记和上市。其后登记和上市的国家还有:澳大利亚、阿根廷、日本、中国、意大利、法国、西班牙等;并覆盖了欧盟所有成员国。啶酰菌胺现已在全球几乎所有主要市场登记和销售,用于100多种作物,防治100多种病害。
在啶菌酰胺的上市产品中,除单剂外,还有许多复配产品,与其复配的有效成分包括:吡唑醚菌酯、醚菌酯、氟环唑、醚菌胺、叶菌唑、嘧菌酯、肟菌酯、咯菌腈、嘧菌环胺、嘧霉胺、啶菌噁唑、腐霉利、乙嘧酚、异菌脲、硫磺等。
啶酰菌胺的产品性能显著优于之前开发的sdhi类杀菌剂,基于此,啶酰菌胺上市后,其市场快速增长,2005年即已突破1.00亿美元,2014年达峰值水平3.90亿美元,多年蝉联sdhi类杀菌剂的榜首。2019年,啶酰菌胺的全球销售额为3.78亿美元,同比增长3.6%,2014—2019年的复合年增长率为-0.6%。目前,啶酰菌胺在sdhi类杀菌剂市场排名第三,在全球杀菌剂市场排名第十四。
5.4 联苯吡菌胺

联苯吡菌胺(通用名:bixafen;开发代号:byf 00587、f9650;商品名:aviator xpro等)是由拜耳研发的联苯基吡唑酰胺结构的sdhi类杀菌剂,2003年发现,2006年公开,2010年登记和上市,拜耳生产,拜耳和富美实联袂开发。富美实从拜耳收购了该产品在美国及加拿大中耕作物上开发和销售的独家权利。
联苯吡菌胺为广谱内吸性杀菌剂,兼具预防、治疗作用,可抑制孢子发芽、菌丝生长、孢子形成。专用于叶面喷雾,防治由子囊菌、担子菌、半知菌引起的病害,广泛用于谷物、葡萄、玉米、马铃薯、棉花、向日葵、大豆、油菜、甜菜、花生等作物,以及非作物领域。
试验表明,联苯吡菌胺对许多病害展现出优良防效,如小麦叶枯病、叶锈病、条锈病、眼斑病、黄斑病,大麦网斑病、柱隔孢叶斑病、云纹病、叶锈病,玉米叶枯病、灰叶斑病、褐斑病、白霉病,马铃薯早疫病、白霉病,油菜白霉病,花生茎腐病、叶斑病、叶锈病、丝核菌引起的病害,苹果白粉病等。并能防治对甲氧基丙烯酸酯类杀菌剂产生抗性的壳针孢菌引起的病害(如叶斑病等)。
为了延缓抗性发展,拜耳、富美实等公司开发了联苯吡菌胺的许多复配产品,参与复配的有:丙硫菌唑、戊唑醇、氟吡菌酰胺、肟菌酯、粉唑醇、嘧菌酯、异菌脲、丙硫菌唑 戊唑醇、丙硫菌唑 螺环菌胺、丙硫菌唑 氟嘧菌酯、丙硫菌唑 肟菌酯、丙硫菌唑 氟吡菌酰胺等。
丙硫菌唑是联苯吡菌胺的重要搭档,两者的复配产品以xpro系列广泛引入市场。xpro技术是市场上主要针对谷物的一项重大创新,采用了被称为leafshield的专利乳油制剂系统,提高了产品在作物上的覆盖率,增强了耐雨水冲刷性。
2019年,拜耳防治亚洲大豆锈病的杀菌剂fox xpro(肟菌酯 丙硫菌唑 联苯吡菌胺)获得第12届agrow awards中的“最佳配方创新奖”。该配方能最大程度地降低脱靶损失,减少对环境的影响。
联苯吡菌胺产品的剂型主要有:悬浮剂、乳油等。
2010年,联苯吡菌胺上市,现已在英国、欧盟23个成员国、澳大利亚、美国、加拿大、巴西、阿根廷、智利等许多国家登记和上市。基于联苯吡菌胺的3个产品在我国获得了仅限出口登记,登记的中文通用名为氯氟联苯吡菌胺。
联苯吡菌胺上市以来,其市场发展迅速。2011年的全球销售额为0.60亿美元,2014年增至2.00亿美元;2019年的销售额为2.76亿美元,2014—2019年的复合年增长率为3.3%。拜耳预计,联苯吡菌胺的年峰值销售额将达3.00亿欧元。
联苯吡菌胺现已上市10余年,形成了较为强大的市场地位。目前,其在拜耳杀菌剂市场排名第四,在sdhi类杀菌剂市场排名第四,在全球谷物用杀菌剂市场排名第九。
5.5 氟唑菌苯胺

氟唑菌苯胺(通用名:penflufen;开发代号:byf14182;商品名:emesto、evergol等)是由拜耳发现、开发、生产的sdhi类杀菌剂,高权重专注于种子处理市场,防治许多种传、土传、苗后早期病害,是种子处理剂市场的佼佼者。
氟唑菌苯胺具有内吸性,兼具预防、治疗作用,持效期长。主要用作种子处理剂,种子处理后,药剂经渗透进入发芽的种子,通过幼株的木质部传导至整个植物,保护生长的幼苗;也可以土壤施用或沟施。
氟唑菌苯胺低剂量下即可广泛防治担子菌、子囊菌等病原菌引起的病害;保护谷物、玉米、大豆、油菜、马铃薯、棉花、花生、水稻、洋葱、其他豆类作物等的幼苗免遭由立枯丝核菌引起的种传、土传病害侵害,也可以有效防治谷物上由黑粉菌、丝核菌、旋孢腔菌等引起的病害。试验表明,氟唑菌苯胺对马铃薯黑痣病,小麦纹枯病,谷物光腥黑穗病、散黑穗病、坚黑穗病、根腐病,水稻纹枯病、恶苗病,玉米丝黑穗病,豆类作物、棉花、水稻种腐病、猝倒病等防效较好。氟唑菌苯胺还可以改善作物生长活力,增强作物的抗逆性,提升作物产量和品质。另外,该产品还可用于木材防腐。
为了延缓抗性的发展,拜耳开发了氟唑菌苯胺的许多复配产品,与其复配的有效成分有:丙硫菌唑、噻虫胺、肟菌酯、丙硫菌唑 甲霜灵、肟菌酯 甲霜灵、丙硫菌唑 噻虫胺、四唑虫酰胺 异噻菌胺、甲霜灵 噻虫胺 肟菌酯、四唑虫酰胺 异噻菌胺 吡蚜酮等。另外,组合化学还登记了四元复配的杀虫/杀菌剂full-throttle box gr(溴氰虫酰胺 三氟苯嘧啶 异噻菌胺 氟唑菌苯胺)等。
氟唑菌苯胺产品以种子处理悬浮剂为主,也有颗粒剂、种子处理干粉剂等。
2010年,氟唑菌苯胺在澳大利亚取得登记,用于谷物;2012年,在加拿大登记,并率先在全球上市。目前,基于氟唑菌苯胺的产品还在美国、欧盟10国、中国、乌克兰、日本等国上市。拜耳希望在世界上40多个国家登记和上市氟唑菌苯胺系列产品。
氟唑菌苯胺继2012年上市以来,市场增长较快。2016年实现销售额1.50亿美元;2019年的销售额为1.70亿美元,同比增长7.4%,2014—2019年的复合年增长率为6.3%。
氟唑菌苯胺现已成为sdhi类杀菌剂市场的第五大产品,拜耳果蔬用杀菌剂市场的领先产品。
5.6 吡唑萘菌胺

吡唑萘菌胺(通用名:isopyrazam;商品名:izm、seguris等)是先正达发现、开发并生产的吡唑酰胺类杀菌剂,含有4个光学异构体。其中,2个顺式异构体占70%~100%,2个反式异构体占30%~0%。
吡唑萘菌胺因其独特的双环结构(吡唑环、苯并降冰片烯环),赋予该产品广泛的杀菌谱和较好的亲脂性,可以与作物蜡质层及真菌作用位点紧密结合,实现较好的耐雨水冲刷、抗紫外光解、预防杀菌活性以及较长的持效作用;其在叶片内还可以跨层传导。
吡唑萘菌胺广谱、高效,持效期长,以保护作用为主,兼有治疗活性,并提供增产功能。主要用于谷物、油菜、果树(梨果、香蕉等)、蔬菜、马铃薯、芸苔、葫芦、观赏植物等,防治许多真菌病害,如小麦叶斑病、褐锈病、条锈病,大麦网斑病、云纹病、锈腐病、柱隔孢叶斑病,梨果黑星病、白粉病,蔬菜白粉病、叶斑病、锈病,油菜菌核病、黑胫病,香蕉黑条叶斑病等;对壳针孢属真菌防效尤佳。
吡唑萘菌胺单剂产品主要包括:a15149w、izm、reflect、seguris、seguris flexi、zulu等;主要复配产品有:bontima、cebara、concorde(吡唑萘菌胺 嘧菌环胺),seguris(吡唑萘菌胺 氟环唑),reflect xtra、symetra、symetra flex、绿妃(吡唑萘菌胺 嘧菌酯),embrelia、reflect top、美实多®、盼立美®(吡唑萘菌胺 苯醚甲环唑),prizm、polarize(吡唑萘菌胺 丙硫菌唑)等。
吡唑萘菌胺主要剂型有:乳油、悬浮剂等。
2010年初,吡唑萘菌胺在英国首获登记;继而在爱尔兰、新西兰登记;同年,在3国上市。其后,吡唑萘菌胺还在德国、阿根廷、中国、墨西哥取得登记。吡唑萘菌胺现已拓展至全球30多个国家和地区的20多种作物上,尚未在美国、加拿大等国登记,其在欧盟的登记已被撤销。
2020年12月,欧洲化学品管理局风险评估委员会得出结论,吡唑萘菌胺符合归类为生殖毒性1b的标准。2022年5月18日,欧盟委员会发布法规(eu)2022/782号条例,撤销对吡唑萘菌胺的登记,2022年6月8日起生效。条例要求,各成员国应在2022年9月8日之前撤销对含有吡唑萘菌胺的制剂产品的登记。根据第1107/2009号条例(ec)第46条,授予各成员国的任何宽限期应于2022年12月8日到期。
2016年,吡唑萘菌胺的全球销售额为0.40亿美元;2019年的销售额为1.29亿美元,2014—2019年的复合年增长率为5.4%。先正达预计,吡唑萘菌胺的年峰值销售额将达1.50亿美元。
5.7 氟唑环菌胺
氟唑环菌胺(通用名:sedaxane;商品名:vibrance、根穗宝等)是由先正达发现、开发和生产的吡唑酰胺结构的sdhi类杀菌剂(2个反式异构体占80%~100%,2个顺式异构体占20%~0%),是先正达开发的专用种子处理剂中的第1个有效成分,现已成为超亿美元的产品。
氟唑环菌胺高效、广谱,具有保护和治疗作用,并以保护作用为主,其内吸性比吡唑萘菌胺更好。适用于谷物、大豆、玉米、高粱、果树、蔬菜、甘蔗、马铃薯、棉花、油菜、水稻、花生、甜菜、芥菜等作物,防治许多土传、种传病害及早期叶面病害,如种腐病,由立枯丝核菌引起的苗枯病、猝倒病,由散黑粉菌引起的散黑穗病,丝黑穗病,马铃薯种传黑痣病、银腐病、茎腐病等。氟唑环菌胺对难以检测的、侵袭性病原菌丝核菌防效优异。
氟唑环菌胺可以从种子渗透到周围土壤,其在不同类型土壤中的移动性较好,可以均匀分布于作物整个根系,并对种子、根系、基茎部形成保护圈,对作物根系提供长效保护;并能提高作物根系活力,促进根系生长,降低非光化学淬灭,使作物增产。研究表明,在低温胁迫下,氟唑环菌胺作为种衣剂比戊唑醇具有更高的安全性。
为了延缓抗性发展,扩大防治谱,进一步提高产品的治疗、保护、保健作用,先正达开发了基于氟唑环菌胺的许多复配产品。这些产品从二元到七元不等,参与复配的有效成分包括:杀虫剂噻虫嗪,杀菌剂甲霜灵、精甲霜灵、苯醚甲环唑、咯菌腈、嘧菌酯、氟唑菌酰羟胺、双炔酰菌胺、噻菌灵、四唑吡氨酯,杀线虫剂巴斯德杆菌pn1,植物生长调节剂糠氨基嘌呤、赤霉酸、吲哚基丁酸等。先正达通过对这些有效成分及其含量的排列组合,满足不同细分市场的差异化需求,实现对广泛作物上许多种传和土传病害、线虫及苗期病虫害的有效防控。
2010年,先正达在澳大利亚首先登记了氟唑环菌胺产品。2011年,公司在阿根廷上市了vibrance(氟唑环菌胺 苯醚甲环唑 咯菌腈 噻虫嗪);同年,vibrance荣获agrow awards中的“最佳植保新产品”奖。氟唑环菌胺还在加拿大、美国、欧盟21国、英国、智利、中国、巴基斯坦等国登记和上市。
氟唑环菌胺继2011年上市以来,取得了较好的市场增长,2019年实现销售额1.08亿美元,同比增长4.7%,2014—2019年的复合年增长率为2.6%。vibrance系列(氟唑环菌胺)与cruiser(噻虫嗪)、fortenza(溴氰虫酰胺)等产品一道,成为先正达种子处理剂市场增长的主要贡献者。
5.8 氟吡菌酰胺
氟吡菌酰胺(通用名:fluopyram;开发代号:ae c656948、usf2015;商品名:luna等)是由拜耳发现和开发、2009年首次报道的吡啶乙基苯甲酰胺结构的sdhi类杀菌剂,现由拜耳生产,拜耳、巴斯夫等多家公司参与市场开发。
氟吡菌酰胺为新型桥链杂环酰胺结构的sdhi类杀菌剂,正是这一“柔性链”的存在,使得氟吡菌酰胺突破了与琥珀酸脱氢酶固有的结合模式,而且,当靶标位点发生突变时,其空间构象能随之调整,并结合上去,仍然显示活性。因此,氟吡菌酰胺不仅与其他类型的杀菌剂无交互抗性,而且针对病原菌的某些突变基因型,其与啶酰菌胺等其他sdhi类杀菌剂也无交互抗性,非常适用于病害的抗性治理。
氟吡菌酰胺为广谱、高效、内吸性杀菌剂,提供保护和治疗作用,具有渗透性,持效期长。可用于谷物、玉米、蔬菜、葡萄、梨果、核果、香蕉、马铃薯、油菜、花生、特种作物及其他大田作物等70多种作物,也可用于工业植被、园艺植物等,防治灰霉病、白粉病、菌核病、褐腐病等,也可以防治香蕉叶斑病、大豆猝死综合症等。作为杀菌剂的氟吡菌酰胺,同时可有效防治线虫的侵害,它是第一个sdhi类杀线虫剂,也是第一个对使用者和环境低毒的杀线虫剂。而且,氟吡菌酰胺还能提高农产品的可储存性,延长它们的货架寿命。
作为杀菌剂,氟吡菌酰胺能抑制真菌孢子萌发、芽管伸长、菌丝生长、芽孢形成。在植物体内,氟吡菌酰胺可在木质部传导和转移。
氟吡菌酰胺单独使用或与其他杀菌剂复配,在低剂量下即有非常好的药效。叶面处理、种子处理皆可。
拜耳几大著名杀菌剂丙硫菌唑、肟菌酯、戊唑醇等都携手氟吡菌酰胺,组成性能更加强大的复配产品。氟吡菌酰胺还与吡虫啉复配,成为性能独特的杀线虫/杀虫剂。氟吡菌酰胺的配伍产品还包括苯醚甲环唑、嘧霉胺、联苯吡菌胺、三唑醇、三乙膦酸铝、坚强芽孢杆菌i-1582株系、丙硫菌唑 戊唑醇、丙硫菌唑 肟菌酯、丙硫菌唑 联苯吡菌胺等。
氟吡菌酰胺产品涉及多种剂型,如悬浮剂、悬乳剂、乳油、种子处理悬浮剂等。
拜耳推出的路富达®(41.7%氟吡菌酰胺悬浮剂)具有很强的杀线虫活性,在提高了杀线虫剂用药安全性的同时,也减少了农药使用量。经药剂处理后,线虫虫体僵直成针状,活动力急剧下降。如香蕉穿孔线虫或根结线虫受药后,开始活动缓慢,处理后30 min初显症状,1~2 h后变得完全麻痹不动。
路富达®在土壤中缓慢而均匀地分布在根际土壤层,从而有效而长时间保护植物根系免于线虫侵害。可用于防治根结线虫、根腐线虫、穿孔线虫、毛刺线虫、刺线虫、剑线虫、环线虫、胞囊线虫等多种线虫。由于其具有内吸性和杀真菌活性,土壤施用后还可防治叶部病害,如链格孢属引起的病害、白粉病及菌核病等,甚至能防治地上线虫。路富达®可在多种种植环境(大棚/露天)下应用,并适用于多种施药方法(滴灌、灌根、沟施、土壤混施等)。
因收购孟山都的需要,拜耳基于氟吡菌酰胺的种子处理剂copeo和ilevo剥离给了巴斯夫。
氟吡菌酰胺最初被开发为杀菌剂,2012年,luna系列杀菌剂在美国上市。氟吡菌酰胺还以杀线虫剂上市,商品名为velum、verango等;verango于2013年在洪都拉斯上市,2014年在哥斯达黎加上市。迄今,氟吡菌酰胺已在全球60多个国家和地区登记和上市,用于70多种作物。这些登记和上市的国家包括:美国、加拿大、墨西哥、中国、土耳其、洪都拉斯、哥斯达黎加、哥伦比亚、欧盟25个成员国、英国、澳大利亚、智利、以色列、巴西等。
2012年上市的氟吡菌酰胺,2019年实现销售额为0.87亿美元,2014—2019年的复合年增长率为2.2%。
氟吡菌酰胺现已在果蔬用杀菌剂等市场建立了较强的市场地位。在2019年拜耳果蔬用杀菌剂市场,法国葡萄用杀菌剂市场,美国葡萄、马铃薯、梨果用杀菌剂市场,全球油菜用杀菌剂市场等,氟吡菌酰胺均处于领先地位。拜耳预计,氟吡菌酰胺的年峰值销售额将达2.00亿欧元。
5.9 氟唑菌酰羟胺

氟唑菌酰羟胺(通用名:pydiflumetofen;开发代号:syn545974;商品名:adepidyn、miravis等)是先正达科研人员历时10年、耗资3.5亿美元、筛选9,105个化合物后,于2008年发现的吡唑酰胺结构的化合物。该产品于2017年上市,2020年登陆中国市场,是先正达成功上市的第4个sdhi类杀菌剂。2018年获得中国化工科技进步奖。
氟唑菌酰羟胺高效、广谱,用于谷物、玉米、大豆、蔬菜、花生、油菜、藜麦、瓜类、干豌豆和豆类、果树、特种作物、草坪、观赏植物等,防治由镰刀菌、尾孢菌、葡萄孢菌、链格孢菌等许多病原菌引起的病害,如白粉病、叶斑病、褐斑病、靶斑病、网斑病、云纹病、叶枯病、灰霉病、赤霉病、恶苗病、菌核病、黑胫病、早疫病、黑星病、疮痂病等。主要通过叶面喷雾,也用于种子处理。
氟唑菌酰羟胺分子中独有的n-甲氧基结构,使其打破了传统sdhi类杀菌剂的界限,能够防治除卵菌、细菌以外的60%的作物病害。氟唑菌酰羟胺对叶斑病、白粉病活性很高;对难以防治的由葡萄孢菌、核盘菌、棒孢菌等病原菌引起的病害高效;防治谷物上由镰刀菌引起的病害,如赤霉病等,是目前sdhi类杀菌剂中唯一高效防治赤霉病的药剂,并能显著降低don毒素;而且具有植物健康作用,提供持久的绿叶保持作用,保叶更保穗,显著提高作物产量和品质。
氟唑菌酰羟胺能够与叶片蜡质层快速紧密结合,施药后6小时80%的药剂进入叶片蜡质层,同时有少量进入植物体内,保护性更好,从容应对各种外界环境,保证更持久的防效。该产品具有较好的耐雨水冲刷性。
为了延缓抗性的产生和发展,进一步扩大防治谱,先正达开发了氟唑菌酰羟胺的许多复配产品,配伍产品包括:苯醚甲环唑、丙环唑、咯菌腈、嘧菌酯 丙环唑、嘧菌酯 咯菌腈 氟唑环菌胺 精甲霜灵等。
氟唑菌酰羟胺系列产品的剂型有:悬浮剂、悬乳剂、种子处理悬浮剂等。
2016年,氟唑菌酰羟胺在阿根廷首获登记,2017年上市。氟唑菌酰羟胺现已在全球50多个国家登记,用于100多种作物,防治30多种主要病害。其市场覆盖阿根廷、乌拉圭、新西兰、智利、美国、加拿大、韩国、澳大利亚、危地马拉、萨尔瓦多、多明尼加共和国、赞比亚、中国、日本、巴西等国。据先正达介绍,氟唑菌酰羟胺产品未来将拓展到全球70多个国家。
氟唑菌酰羟胺继2017年上市以来,市场快速增长,2021年的销售额约达3.00亿美元。先正达预计,氟唑菌酰羟胺的年峰值销售额将突破10.00亿美元。
6 sdhi类杀菌剂中的潜力产品
sdhi类杀菌剂的市场增长主要得益于新产品的持续推出,尤其是2000年以后上市的产品,掀起了sdhi类杀菌剂的研发高潮。其中,有些新产品很快表现出重磅实力,有些新产品在逐渐释放市场潜能,还有些新产品即将上市,从它们的产品性能来看,已然可以乐观期待其市场前景。正是这些潜力产品,增强了sdhi类杀菌剂的发展后劲。
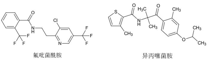
6.1 异丙噻菌胺

异丙噻菌胺(通用名:isofetamid;商品名:kenja、kabuto等)是石原产业株式会社2005年发现的新型噻吩酰胺结构的sdhi类杀菌剂,其广谱,高效,具有保护、治疗、渗透(或局部内吸)作用,能有效控制子囊菌、半知菌,防治许多叶面和土传病害。主要用于果树、蔬菜、葡萄、油菜、矮生莓类和浆果、草坪等,防治由核盘菌、葡萄孢菌、链核盘菌等病原菌引起的病害,如灰霉病、菌核病、白粉病、炭疽病、苹果黑星病、果腐病、褐腐病、花枯病、炭疽病、草坪币斑病等。试验结果表明,异丙噻菌胺在灰霉病、菌核病、草坪币斑病防治和抗性管理方面具有较好的效果。
异丙噻菌胺对天敌、有益昆虫无影响,推荐剂量下使用对作物安全;但对鸟类和小型野生哺乳动物有毒,对部分水生生物有毒。试验结果表明,只要按照标签说明使用,异丙噻菌胺对人类健康和环境风险可以接受。
针对异丙噻菌胺的产品登记,美国环保署与加拿大有害生物管理局开展了联合评审。2014年以来,异丙噻菌胺已在加拿大、美国、欧盟、日本、韩国、澳大利亚、新西兰、巴西、中国等国家和地区取得登记。该产品将主要瞄准欧洲、日本、加拿大、美国等市场。
异丙噻菌胺产品主要为悬浮剂,既有单剂,也有与戊唑醇等的复配产品。
2014年上市的异丙噻菌胺,2019年的销售额不足3,000万美元,2014—2019年的复合年增长率为76.2%。
6.2 联苯吡嗪菌胺
联苯吡嗪菌胺(通用名:pyraziflumid)是由日本农药株式会社研发的吡嗪酰胺结构的sdhi类杀菌剂,分子中还引入了联苯基团,从而赋予产品优秀的性能。
联苯吡嗪菌胺高效,广谱,具有较好的内吸性,兼具预防、治疗作用。其对子囊菌、担子菌提供优异的生物活性,主要用于玉米、油菜、水稻、蔬菜、葡萄、梨果、草坪等,通过叶面喷雾,防治白粉病、灰霉病、菌核病、疮痂病、环斑病、斑点病、币斑病等。试验证明,联苯吡嗪菌胺对甘蓝菌核病、草莓灰霉病、黄瓜白粉病和灰霉病、番茄叶霉病等均有较好的防效。耐雨水冲刷。
2018年3月,3个联苯吡嗪菌胺产品在日本取得登记,分别为:用于蔬菜的parade® 20fl、用于果树的parade® 15fl、用于草坪的decide® fl;同年上市。2018年,联苯吡嗪菌胺在韩国取得登记,继而上市。该产品还将在美国、加拿大等更多国家登记和推广。
公司预计,联苯吡嗪菌胺在日本市场的年峰值销售额将达15亿~20亿日元(约为0.15亿美元),在国际市场的年峰值销售额约为0.20亿美元。
6.3 isoflucypram

isoflucypram(开发代号:bcs-cn88460;商品名:tiviant、iblon等)是由拜耳研发和上市的吡唑酰胺结构的sdhi类杀菌剂。其分子中的酰胺键部分引入了环丙基,从而提升了产品性能。在目前上市的sdhi类杀菌剂中,isoflucypram和氟唑菌酰羟胺是仅有的2个在酰胺键部分引入取代基的化合物。
isoflucypram广谱,高效,用药量低,具有出色的谷物病害控制效果,持效期长。能有效防治许多主要的谷物病害,如小麦黄斑病、叶枯病、白粉病、条锈病、叶锈病,大麦网斑病、叶斑病、叶锈病等。isoflucypram还可延长谷物灌浆时间,使作物更健康,从而提升作物产量。据称,isoflucypram将为谷物病害(如叶枯病等)防治树立新标杆。
2019年,isoflucypram在新西兰率先取得登记;2020年,在新西兰上市,商品名为vimoy iblon。该产品用于防治大麦、小麦、黑麦等作物上的许多病害,并能提高谷物产量和品质。该产品还将在其他许多重要的谷物生产国登记和上市。
据phillips mcdougall预测,isoflucypram的年峰值销售额将达3.00亿美元。
6.4 inpyrfluxam

inpyrfluxam(开发代号:s-2399;商品名:indiflin)是由日本住友化学株式会社研发的sdhi类杀菌剂,其分子中同时拥有吡唑-4-酰胺和茚基基团,从而优化了产品性能。住友化学认为,inpyrfluxam有望成为重磅杀菌剂。
inpyrfluxam广谱,高效,具有内吸性和叶面渗透作用。主要用于谷物、玉米、水稻、高粱、大豆、油菜、甜菜、花生、苹果树、园艺植物等,防治由丝核菌引起的病害及其他许多真菌病害,如水稻纹枯病、亚洲大豆锈病、大豆猝死综合症、谷物锈病(如小麦叶锈病等)、大麦网斑病、苹果黑星病、马铃薯黑痣病、甜菜根腐病和叶枯病、油菜黑胫病等,尤其在控制大豆、小麦锈病方面表现突出。inpyrfluxam还能提高作物产量。既可叶面喷雾,也用于种子处理。
住友化学不仅推出了inpyrfluxam的单剂产品,还上市了inpyrfluxam分别与戊唑醇、丙硫菌唑、噻唑菌胺、噻唑菌胺 甲霜灵等的复配产品;制剂产品主要为悬浮剂。
2020年初,inpyrfluxam在日本率先取得登记,商品名为kaname flowable,用于园艺植物,2020年3月在日本上市。inpyrfluxam也已在美国、加拿大取得登记,这是由两国联合评估完成。inpyrfluxam还在巴西、阿根廷取得了登记;该产品在欧盟的登记悬而未决;目前尚未在我国登记。
住友化学快速推进inpyrfluxam产品在全球的登记和上市,公司预计,inpyrfluxam的年峰值销售额将达2.00亿美元。
6.5 氟茚唑菌胺

氟茚唑菌胺(通用名:fluindapyr;开发代号:ir9792、f9990)是意大利意赛格发现、意赛格和富美实共同开发(2012年签署协议)的新型sdhi类杀菌剂。2020年,富美实从意赛格收购了氟茚唑菌胺的全球权利。
与住友化学上市的inpyrfluxam一样,氟茚唑菌胺分子中也同时含有吡唑酰胺与茚基基团,两者仅差一个氟原子。氟茚唑菌胺未来也有望成为重磅杀菌剂。
氟茚唑菌胺为内吸性杀菌剂,广谱,高效,持效期长,具有保护、治疗、铲除活性,对许多重要病害展现出优异的防效,尤其是锈病。主要用于谷物、大豆、水稻、玉米、蔬菜、油菜、坚果树、葡萄、甘蔗、草坪、观赏植物等,叶面喷雾,防治由壳针孢属、链格孢属、核盘菌、炭疽病菌、灰葡萄孢菌、尾孢属、棒孢属等病原菌引起的病害,如亚洲大豆锈病、锈病、稻瘟病、纹枯病、叶枯病、花腐病、白粉病、灰霉病、菌核病、炭疽病、疮痂病等;还能提高作物产量。
氟茚唑菌胺兼容性好,可与其他许多杀菌剂复配或预混。与其复配的有效成分包括:四氟醚唑、粉唑醇、丙硫菌唑、苯醚甲环唑、嘧菌酯 粉唑醇等。制剂产品主要有悬浮剂、乳油等。
2019年12月,意赛格基于氟茚唑菌胺的制剂产品zaltus(氟茚唑菌胺 四氟醚唑)在巴拉圭率先取得登记。2021年5月14日,富美实包括原药在内的7个氟茚唑菌胺产品在美国获准登记,用于大田作物、特种作物、草坪等,防治许多病害。富美实亦已向巴西、阿根廷、欧盟等国家和地区申请登记氟茚唑菌胺。目前,该产品正在我国开展登记,试验结果表明,42%氟茚唑菌胺悬浮剂对黄瓜白粉病、番茄灰霉病的防效较好。
富美实预计,氟茚唑菌胺的年峰值销售额将达3.50亿美元。
6.6 三氟吡啶胺

三氟吡啶胺(通用名:cyclobutrifluram;开发代号:a22417;商品名:tymirium®)是先正达历时10余年成功推出的新型sdhi类杀菌剂,是该类产品中继氟吡菌酰胺之后的又一重磅杀菌/杀线虫剂,也是继啶酰菌胺之后的第2个吡啶酰胺结构的化合物。
三氟吡啶胺由(1s,2s)-对映体与(1r,2r)-对映体组成,前者的含量不低于80%。该产品存在4种晶型,其中b、c为稳定晶型。
三氟吡啶胺为病原菌呼吸作用抑制剂;同时,通过干扰呼吸作用,使线虫幼虫麻痹,从而导致细胞中能量耗尽,并能抑制虫卵孵化。
三氟吡啶胺广谱、高效,对所有主要作物提供持久保护,使其免遭难以发现、却极具破坏性的线虫和土传病害的侵害,尤其是镰刀菌的侵害。该产品不仅保护植物根部免受侵袭,并能传输至植物的地上部分,防治早期病害。
三氟吡啶胺主要用于玉米、大豆、谷物、水稻、黄瓜、番茄、甜菜、马铃薯、棉花等许多作物,防治根结线虫、胞囊线虫、短体线虫、瘿线虫、粒线虫、滑刃线虫、松树线虫、环形线虫、茎线虫、螺旋线虫等,对镰刀菌引起的真菌病害(如谷物冠腐病等)防效优异。种子处理、土壤处理均可,用量低,使用方便,且与其他许多植保产品高度兼容。
先正达强调,使用基于三氟吡啶胺的tymirium®技术,可以有效控制土壤传播病害与植物寄生线虫,保护土壤生物多样性,促进土壤健康。受到保护的作物根系更加强大,能够支持土壤结构和土壤有机物的健康发展,提高对养分、水分的利用率,并提升作物对生物和非生物胁迫的耐受力,提高作物产量。tymirium®技术具有高度的选择性,对益虫、传粉昆虫、微生物群落的影响极小,有助于保护生物多样性。tymirium®技术将在免耕和保护性耕作体系中发挥重要作用。
2021年,先正达向巴西、澳大利亚等多个国家提交了三氟吡啶胺的登记申请。该产品已率先在萨尔瓦多取得登记,2022年在阿根廷获准登记,2023年将在中国取得登记。
基于三氟吡啶胺的产品将在未来几年内以不同的商品名上市,用于全球60多个国家、面向100多种作物推出。其中,vaniva®(在特定的市场上或为evidis®)将应用于土壤凯发k8国际的解决方案,为马铃薯、番茄、香蕉、甘蔗等许多作物提供早期保护,并可与滴灌、浇灌、沟施等多种应用方式相兼容;victrato®将应用于种子处理凯发k8国际的解决方案,保护大豆、玉米、谷物、棉花、水稻等作物。
三氟吡啶胺的推出,使先正达在线虫和土传病害防控以及土壤健康领域又向前迈进了一步。据phillips mcdougall预测,三氟吡啶胺的年峰值销售额将达5.00亿美元。
7 sdhi类杀菌剂抗药性
尽管sdhi类杀菌剂对许多病原菌具有很高的杀菌活性,但由于它们作用位点单一,而且靶标蛋白存在较高的变异性,因此,frac将sdhi类杀菌剂归为中等至高抗性风险药剂,并属于同一交互抗性组。
早在1970年,就有文献报道了首例对sdhi类杀菌剂产生抗性的真菌突变体。随着该类杀菌剂的长期、广泛使用,其抗性问题日益凸显,甚至有些品种可能还未上市便已产生抗性。因此,抗药性研究是延缓sdhi类杀菌剂抗性发展及研发新产品的重要基础。
琥珀酸脱氢酶(sdh)即线粒体复合体ⅱ,由4个亚基(sdha、sdhb、sdhc、sdhd)组成,在sdh基因中,病原菌靶标位点因基因突变而产生抗性。根据相关的研究报道及frac的统计结果,目前,已经有20多种病原菌对sdhi类杀菌剂产生了抗性,其中有18种在田病原菌产生了抗性。
表4 对sdhi类杀菌剂产生抗性的病原菌及抗性突变位点
| 病原菌 |
报道寄主 |
涉及药剂 |
来源 |
抗性突变位点 |
|
黑粉菌 (ustilago maydis) |
玉米 |
萎锈灵 |
实验室 |
b-h257l |
|
叶枯病菌 (mycosphaerella graminicola) |
小麦 |
萎锈灵、sdhis |
实验室 |
b-h267y/r/l、b-i269v、 c-h152r、c-n86k、 d-h139e |
|
米曲霉菌 (aspergillus oryzae) |
花生 |
萎锈灵 |
实验室 |
b-h249y/l/n、c-t90i、d-d124e |
|
灰葡萄孢菌 (botrytis cinerea) |
不同寄主 |
啶酰菌胺 |
实验室、大田 |
b-p225l/t/f、b-h272y/r/l、b-n230i、d-h132r |
|
灰葡萄孢菌 (botrytis cinerea) |
番茄、草莓、苹果 |
sdhis |
大田 |
b-p225l/t/f、b-n230i、b-h272y/r/l/v、c-a85v、c-g85a&i93v&m158v&v168i、c-g37s、c-i93v、c-i79v&g85a&l151i、d-h132r |
|
灰霉病菌/椭圆葡萄孢菌 (botrytis elliptica) |
百合花 |
sdhis |
大田 |
b-h272y/r |
|
链格孢菌 (alternaria alternata) |
开心果 |
啶酰菌胺、sdhis |
大田 |
b-h277y/r、c-h134r、d-d123e、d-h133r |
|
茄链格孢菌/链格孢菌 (alternaria solani, alternaria alternata) |
马铃薯 |
sdhis |
大田 |
b-h278r/y、c-h134r/q、d-d123e、d-h133r |
|
多主棒孢霉 (corynespora cassiicola) |
葫芦、黄瓜 |
啶酰菌胺、sdhis |
大田 |
b-h278y/r、b-i280v、c-s73p/l、c-n75s、c-h134r、d-s89p、d-95e、d-g109v |
|
蔓枯病菌 (didymella bryoniae) |
葫芦 |
啶酰菌胺、吡噻菌胺、氟吡菌酰胺、sdhis |
大田 |
b-h277r/y |
|
叉丝单囊壳白粉菌 (podosphaera xanthii) |
葫芦 |
sdhis |
大田 |
b-h243y、b-h->y (homologous to h272 in b. cinerea) |
|
葡柄霉菌 (stemphylium botryosum) |
芦笋 |
sdhis |
大田 |
b-p225l、h272y/r |
|
亚洲镰刀菌 (fusarium asiaticum) |
小麦 |
氟唑菌酰羟胺 |
实验室 |
b-h248y、c1a-a64v、c1a-r67k |
|
禾谷镰刀菌 (fusarium graminearum) |
小麦 |
氟唑菌酰羟胺 |
大田 |
c1a-a78v |
|
立枯丝核菌 (rhizoctonia solani) |
小麦 |
噻呋酰胺 |
实验室 |
b-h246y、c-h139y、d-h116y |
|
叶枯病菌/壳针孢菌 (zymoseptoria tritici) |
小麦 |
萎锈灵、sdhis |
实验室 |
b-d166g、b-n225i、b-h267y/r/l、b-i269v、b-s221p、 c-t79n、c-t79i、c-a84v、c-n86k、c-g90r、c-h152r、d-h129e、d-d129e/g |
|
叶枯病菌/壳针孢菌 (zymoseptoria tritici) |
小麦 |
sdhis |
大田 |
b-n225i、b-n225t、b-r265p、b-t268i/a、c-t79n/i、c-w80s、c-n86s/a、c-h152r、c-r151s/t/m、c-v166m、c-t168r、d-i50f、d-m114v、d-d129g |
|
网斑病菌 (pyrenophora teres) |
大麦 |
sdhis |
大田 |
b-h277y、c-n75s、c-g79r、c-h134r、c-s135r、d-d124n/e、d-h134r、d-d145g |
|
柱隔孢菌 (ramularia collo-cygni) |
大麦 |
sdhis |
大田 |
b-n224t、b-t267i、c-n87s、c-g91r、c-h146r/l、c-h153r、 c-g171d |
|
核盘菌/菌核菌 (sclerotinia sclerotiorum) |
油菜 |
啶酰菌胺、sdhis |
实验室 |
b-a11v、b-p226l |
|
核盘菌/菌核菌 (sclerotinia sclerotiorum) |
油菜 |
sdhis |
大田 |
b-h273y、c-g91r、c-h146r、c-g150r、d-t108k、d-h132r |
|
葡萄钩丝壳菌/葡萄白粉病菌 (erysiphe necator) |
葡萄 |
sdhis |
大田 |
b-h242r/y、b-i244v、c-g169d/s |
|
黄花菜匍柄霉菌 (stemphylium vesicarium) |
芦笋 |
sdhis |
大田 |
b-p225l、h272y/r |
|
苹果黑星菌 (venturia inaequalis) |
苹果 |
sdhis |
大田 |
b-t253i、c-h151r |
|
小麦纹枯病菌 (rhizoctonia cerealis) |
小麦 |
sdhis |
实验室 |
b-h246y、c-h139y、d-h116y |
|
草坪草币斑病菌 (sclerotinia homoeocarpa) |
冷季型草坪 |
sdhis |
大田 |
b-h267y、c-g91r、c-150r |
|
注:a,由于小麦赤霉病菌种存在两个sdhc 亚基基因,以c1,c2 区分。 |
||||
研究发现,病原菌对sdhi类杀菌剂的抗性主要由sdh亚基上氨基酸突变所致,突变后的氨基酸降低了药剂与琥珀酸脱氢酶的结合能力。这些抗性菌株的主要突变位点集中在sdhb、sdhc、sdhd等3个亚基上,尚未发现sdha亚基发生抗药性突变。
为了延缓sdhi类杀菌剂的抗性发展,农业生产中必须采取有效的抗性管理措施。frac建议:按照生产商推荐的有效剂量和安全间隔期使用;严格限制sdhis的用药次数,每生长季最多用药3次;sdhi类杀菌剂用于复配或桶混时,其配伍产品即便单独使用也必须对靶标病害提供满意的防效,并且作用机理不同;应该预防性地使用sdhi类杀菌剂,或在病害发生早期施药;新药剂大面积应用前及时建立靶标病原菌的敏感基线,且对田间抗性情况进行实时监测,并及时治理。
frac指出,两种或多种sdhi类杀菌剂复配时,它们或许能提供更好的防效,但不能作为抗性治理策略,必须视为一种产品来考虑。
8 sdhi类杀菌剂市场前景
近年来,sdhi类杀菌剂增长迅猛,这主要受到新产品上市的强劲驱动,尤其是2000年以后,涌现出许多重磅产品和重磅潜力产品。如氟唑菌酰胺、苯并烯氟菌唑、啶酰菌胺,以其广谱杀菌活性,年销售额均已超越3.00亿美元;氟吡菌酰胺是第一个具有高效杀菌/杀线虫活性的sdhi类杀菌剂;氟唑菌酰羟胺突破性地防治小麦赤霉病,并能显著降低don毒素含量;氟唑菌苯胺、氟唑环菌胺则在种子处理剂领域担纲重要角色……
现有的sdhi类杀菌剂正在持续扩张,而新近上市和即将上市的sdhi类杀菌剂增长潜力也很大。如住友化学、拜耳最近上市的inpyrfluxam、isoflucypram,它们的年峰值销售额将达2.00亿、3.00亿美元;富美实、先正达即将上市的氟茚唑菌胺、三氟吡啶胺,它们的年峰值销售额将达3.50亿、5.00亿美元……
围绕小小的“酰胺”基团,研发人员展现了伟大的创新精神,打造了丰富的产品矩阵。
拥有如此众多的优质资源,sdhi类杀菌剂势必继续领涨。据phillips mcdougall预测,2024年sdhi类杀菌剂的全球销售额将达30.15亿美元,2019—2024年的复合年增长率为5.5%。
(1)本网旨在传播信息,促进交流,多方面了解农药发展动态,但不构成任何投资建议。
(2)所有文章仅代表作者观点,不代表本网立场。
(3)“信息来源:江苏省农药协会 农药资讯网”为原创文章,转载时请注明来源和作者。
(4)本网转载文章及图片的凯发k8国际的版权属于原作者,若有侵权,请联系删除。